The OpenNET Project / Index page

[ новости /+++ | форум | теги | ]

Каталог документации / Раздел "Сети, протоколы, сервисы" / Оглавление документа

previous up down next index index
Previous: 4.3.2 Протоколы сетей X.25    UP: 4.3 Региональные сети
Down: 4.4 Интернет
    Next: 4.3.4 Протокол Frame Relay

4.3.3 Интегрированные сети ISDN
Семенов Ю.А. (ГНЦ ИТЭФ)

Название ISDN (integrated system digital network - интегрированные цифровые сети) было предложено группой XI CCITT в 1971 году (cм. П. Боккер, ISDN. Цифровая сеть с интеграцией служб. Понятия, методы, системы. "Радио и связь", М. 1991). Основное назначение ISDN - передача 64-кбит/с по 4-килогерцной проводной линии и обеспечение интегрированных телекоммуникационных услуг (телефон, факс, данные и пр.). Использование для этой цели телефонных проводов имеет два преимущества: они уже существуют и могут использоваться для подачи питания на терминальное оборудование. Выбор 64 Кбит/c стандарта определен простыми соображениями. При 4-килогерцной полосе, согласно теореме Найквиста-Котельникова, частота стробирований должна быть не ниже 8 кГц. Минимальное число двоичных разрядов для представления результатов стробирования голосового сигнала при условии логарифмического преобразования равна 8. Таким образом, в результате перемножения этих чисел и получается значение полосы B-канала ISDN. Базовая конфигурация каналов имеет вид 2*B + D = 2*64 +16 = 144 кбит/с. Помимо B-каналов и вспомогательного D-канала isdn может предложить и другие каналы с большей пропускной способностью, канал Н0 с полосой 384 Кбит/с, Н11 - 1536 и Н12 - 1920 Кбит/c (реальные скорости цифрового потока). Для первичных каналов (1544 и 2048 Кбит/с) полоса D-канала может составлять 64 Кбит/с.

Ожидается, что к 2000 году в США будет 10000000 пользователей ISDN. Число же телефонных аппаратов в мире приближается к миллиарду. Существует около 10 разновидностей протоколов ISDN (national ISDN-1 (США); at&t custom; euro-ISDN (Net3) и т.д.

ISDN предполагает, что по телекоммуникационным каналам передаются цифровые коды, следовательно аналоговые сигналы в случае телефона или факса должны быть преобразованы соответствующим образом, прежде чем их можно будет передать. При передаче цифровых сигналов используется кодово-импульсная модуляция (cм. раздел "Преобразование, кодирование и передача информации"), впервые примененная во время второй мировой войны. Широкое внедрение этого метода передачи относится к началу 60-х годов.

Чтобы обеспечить пропускную способность 64 Кбит/с по имеющимся телефонным проводам, не нарушая теоремы Шеннона, надо ставить ретрансляторы на расстоянии 2 км друг от друга (ведь ослабление сигнала в стандартном кабеле составляет около 15дБ/км). Последние достижения в телекоммуникационных технологиях существенно ослабили это ограничение.). Унификация скоростей передачи данных в ISDN способствует уменьшению объема оборудования, так как исключает необходимость межсетевых интерфейсов, согласующих быстродействие отдельных частей сети. Одной из наиболее массовых приложений ISDN является цифровая телефония. Человеческий голос можно удовлетворительно закодировать, используя лишь 6 бит, но вариации уровня входного сигнала приводит к тому, что нужно не менее 8 бит (с учетом логарифмической характеристики аналого-цифрового преобразователя - АЦП). Значения кодов, полученных в результате последовательных преобразований звука человеческой речи, сильно коррелированны, а это открывает дополнительные возможности для сжатия информации.

Сети ISDN дали толчок развитию сетевой технологии. На очереди интеграция Интернет с кабельным телевидением, а там, глядишь, появятся квартирные сети, объединяющие телевизор, ЭВМ, бытовую технику и телефон. Это неудивительно, когда цена хорошего телевизора почти сравнялась с ценой персональной ЭВМ, а многие бытовые устройства имеют встроенные процессоры. Здесь должно быть решено несколько проблем. С одной стороны телевизионные кабели имеют полосу пропускания достаточную для передачи как аналогового (заведомо более 10 каналов), так и цифрового телевидения. Проблема возникает при совмещении передачи телевизионного сигнала и цифрового (или PCM) канала Интернет (кабельные модемы пока достаточно дороги). Современные телевизионные системы обеспечивают порядка 50 каналов одновременно, что накладывает весьма жесткие требования на кабельную разводку между локальным распределительным узлом и оконечными пользователями. Распределительные узлы сегодня объединяются с помощью ATM-каналов (~150 Мбит/с, широкополосный ISDN), что уже сегодня недостаточно. По мере удешевления можно ожидать, что в ближайшем будущем в квартиры конечных пользователей будет осуществлен ввод оптоволоконных кабелей, что решит проблему радикально (не нужен не только телевизионный, но и телефонный кабель). Попутно это решит проблему и видеотелефона. На очереди разработка новых стандартов, которые позволят осуществить такую интеграцию.

Так как первоначально ISDN создавалась для передачи голоса и изображения (факс), начнем именно с этих приложений. Для факсов сети ISDN особенно привлекательны, так как может обеспечить высокое разрешение (до 16 линий/мм и лучше) при разумном времени передачи.

Для иллюстрации взаимодействия различных частей ISDN рассмотрим рис. 4.3.3.1.

4.3.3.1 Традиционная схема сети ISDN

Network termination 1 (NT-1) представляет собой прибор, который преобразует 2-проводную ISDN-линию (от телефонной компании), называемую u-интерфейсом, в 8-проводный S/T-интерфейс. Как правило, к точке Т может быть подключено только одно оконечное устройство. NT2 же предназначено для подключения большого числа разнотипного оборудования (функции NT1 и NT2 могут быть совмещены в одном приборе). Допускается объединение интерфейсов NT2 и TA; возможна работа нескольких NT1 с одним NT2. Интерфейс NT2 может обеспечивать внутриофисный трафик, образуя шину, к которой может подключаться несколько терминалов. Терминальное оборудование (TE) в режиме точка-точка может быть подключено к системе кабелем длиной до 1 км, реальным ограничением служит ослабление в 6 дБ на частоте 96 кГц. В режиме точка-мультиточка (до 8 терминалов) подсоединение производится параллельно, но длина шины в этом случае не должна превышать 200 м (по временным ограничениям). Терминалы, чтобы не вносить искажений, должны иметь входное сопротивление не ниже 2500 Ом. Шина согласуется 100 омным сопротивлением, как со стороны NT1, так с противоположного удаленного конца (это справедливо для принимающих и передающих пар проводов). Оборудование, следующее рекомендациям ISDN, может подключаться в точках S и T. Схемы кабелей, объединяющих интерфейсы ISDN с оконечным оборудованием, показаны на рис. 4.3.3.2.

Рис. 4.3.3.2. Кабели и разъемы в каналах ISDN

Точки s и t обеспечивают доступ к канальным услугам ISDN. В точке R (на рис. 4.3.3.2 TA - терминальный адаптер), в зависимости от типа терминального адаптера, доступны некоторые другие стандартные CCITT услуги (X.21 или X.25, V.35, RS-232 или V.24). Входы TE1 и TE2 предназначены для удаленных телекоммуникационных услуг. Все виды услуг могут быть разделены на три группы по форме доступа к 64кбит/с:

  1. Услуги, для которых меняется лишь скорость исполнения (например, файловый обмен или электронная почта).
  2. Принципиально новые услуги, которые недоступны при низких скоростях обмена, например, факсимильная передача со скоростью 3-4 секунды на страницу (против 20-30 сек при низких скоростях); видеотекст (напр., Prestel в Англии, Minitel во Франции или Bildschirmtext в Германии).
  3. Услуги, абсолютно невозможные при скоростях ниже 64кб/с. Например, видеотелефон или высококачественная передача звука (G.722; ADPCM - adaptive differential pulse code modulation). Телефония часто использует каналы со скоростью передачи 32кбит/с (G.721). Полоса звукового сигнала равна 50 Гц - 20 кГц.

Эталонная конфигурация системы передачи и приема сигналов, а также подачи питания на терминальное оборудование показана на рис. 4.3.3.3. Передаваемая по проводам мощность составляет 1-0.5 Вт. Дополнительная пара проводов питания является в настоящее время опционной.

Рис. 4.3.3.3 Эталонная конфигурация системы передачи и приема сигналов, а также подачи питания на терминальное оборудование

(*) Относится к полярности кадровых сигналов. (**) относится к полярности питающего напряжения. Используется напряжение питания V= 40 v, которое (если требуется для питания управляющей электроники) преобразуется в 5 В.

Логика взаимодействия различных частей сети isdn показана на рис. 4.3.3.4.

Рис. 4.3.3.4 Взаимодействие основных протоколов ISDN

Процессом передачи информации между узлами управляет сигнальная система общего канала (CCS - common channel signaling system). В ISDN используется 7-я сигнальная система CCITT (рис. 4.3.1.1). Ее уровни сходны, но не идентичны OSI. На нижних уровнях используется MTP (message transfer part - система передачи сообщений), задачей которой является надежная пересылка сигнальных пакетов по сети. Пользовательские (прикладные) сообщения иерархически расположены над MTP, которая имеет три уровня.

Терминальное оборудование подключается к NT через трансформатор (см. рис. 4.3.3.5). На входе трансиверов используются схемы защиты от переходных процессов в линиях связи.

Рис. 4.3.3.5 Терминальный ISDN-интерфейс

Нормальная амплитуда сигнала составляет 750 мВ. Формат кадра первого уровня показан на рис. 3.5.3.6, он содержит 48 бит и имеет длительность 250 мксек. Физическая скорость обмена составляет 192 Кбит/с (~5,2 мксек на бит). Блок-схема терминального ISDN-интерфейса показана на рис. 4.3.3.5. Питание интерфейса осуществляется через 4-проводный выходной кабель. На вход интерфейса подается импульсно-кодовый модулированный сигнал (ИКМ). Интерфейс обеспечивает доступ к B- и D-каналам. Номинальное смещение в начале кадра в случае обмена терминал-сеть, как показано на рис. 4.3.3.6, составляет 2 бита. В некоторых случаях оно может оказаться больше из-за задержек в кабеле. Кадр включает в себя несколько l-битов, которые служат для балансировки цуга по постоянному току. Для направления NT -> TE (связь сетевого оборудования с терминальным) первыми битами кадра являются F/L-пары (см. начало и конец диаграмм; временная ось направлена слева направо), нарушающие AMI-правила (чередование полярности сигнала при передаче логической единицы). Раз чередование нарушено, до завершения кадра должно присутствовать еще одно такое нарушение. Бит FA реализует это второе нарушение чередования полярности. A-бит используется в процедуре активации для того, чтобы сообщить терминалу о том, что система синхронизована. Активация может проводиться по инициативе терминала или сетевого оборудования, а деактивация может быть выполнена только сетью. Помимо B1, B2 (байты выделены стрелками) и D-каналов формируются также виртуальные E- и A-каналы. E-канал служит для передачи эхо от NT1 к TE в D-канале. Существует 10-битовое смещение (задержка) между D-битом, посылаемым терминалом, и E-битом эхо (отмечено стрелкой на рис. 4.3.3.6). M-бит используется для выделения мультифреймов (эта услуга недоступна в Европе). M-бит идентифицирует некоторые FA-биты, которые могут быть изъяты для того, чтобы сформировать канал управления (например, при проведении видеоконференций). S-бит является резервным. Назначения различных вспомогательных каналов собраны в таблице А.

Таблица А

A

4-килогерцный аналоговый телефонный канал

B

Цифровой ИКМ-канал для голоса и данных с полосой 64 кбит/c

C

Цифровой канал с полосой 8 или 16 кбит/c

D

Цифровой канал для внедиапазонного управления с полосой 16 кбит/c

E

Цифровой канал isdn для внутреннего управления с полосой 64 кбит/c

H

Цифровой канал с полосой 384, 1536 или 1920 кбит/c

Следует обратить внимание на то, что базовый ISDN-канал содержит два В-канала по 64 кбит/c и один D-канал с 16 кбит/c. Первичный же isdn-канал содержит 24 или 30 стандартных В-каналов и один D-канал с полосой 64 кбит/c.

На первом уровне протокола разрешаются конфликты доступа терминалов к D-каналу. Активация и деактивация осуществляется сигналом <info>. info=0 означает отсутствие сигнала в линии. info=1 передает запрос активации от терминала к NT. info=2 передается от NT к TE с целью запроса активации или указывает, что NT активировано вследствие появления info=1.

info=3 и info=4 представляют собой кадры, содержащие оперативную информацию, передаваемую из TE и NT, соответственно. nt активирует местную передающую систему, которая информирует коммутатор о начале работы пользователя. NT1 в ответ передает терминалу info=2, которое служит для синхронизации. TE откликаются, посылая пакетом info=3, который содержит оперативную информацию. Все терминалы активируются одновременно.

Второй уровень решает проблему надежной передачи сообщений по схеме точка-точка. К каждому сообщению добавляется 16 контрольных чисел, включающих в себя идентификатор сообщения. Этот уровень описывает HDLC-процедуры (high level data link communication), которые обычно называются процедурами доступа для D-канала (LAP - link access procedure). LAP D базировался первоначально на рекомендациях X.25 слоя 2, но в настоящее время процедуры LAP D функционально обогатились (разрешено много LAP для одного и того же физического соединения, что позволяет 8-ми терминалам использовать один D-канал). Уровень 2 должен передать уровню 3 сообщения, лишенные ошибок. На уровне 2 решается проблема повторной передачи пакетов в случае их потери или доставки с ошибкой. LAP D базируется на LAP B рекомендаций X.25 для уровня 2. Кадры на уровне 2 представляют собой последовательности 8-битных элементов. Формат кадра второго уровня показан на рис. 4.3.3.7.

Рис. 4.3.3.7 Структура кадра для слоя 2

Стартовый и завершающие флаги передаются так, что к любым 5 единицам подряд добавляется нуль (чтобы избежать имитации сигнатуры в других, в том числе информационных полях). Принимающая сторона эти нули убирает. FSC- вычисляется по методике CRC, описанной в разделе 3.3.1.

Каждый кадр начинается и завершается одной и той же последовательностью (сигнатура начала/конца кадра). Размер управляющего поля зависит от типа кадра (1 или 2 октета). Информационные элементы присутствуют только в кадрах, содержащих данные 3-го уровня. Формат двухбайтного поля адреса для уровня 2 показан на рис. 4.3.3.7. Адрес имеет лишь локальное значение и известен только участникам процедуры обмена. Формат байтов адреса показан на рис. 4.3.3.8.

Рис. 4.3.3.8. Адресное поле кадра слоя 2

ea

бит расширения адресного поля;

c/r

бит поля команда/отклик;

sapi

service access point identifier - идентификатор точки доступа, служит для описания характера реализуемого сервиса:

tei

terminal endpoint identifier - идентификатор точки подключения терминала.

SAPI=0 - запрос соединения по схеме коммутации каналов;
SAPI=16 - переключение пакетов согласно протокола X.25;
SAPI=63 административные или управленческие функции (опционно). Точка доступа к услугам представляет собой виртуальный интерфейс между слоем 2 и 3 (см. рис. 4.3.3.9).

Рис. 4.3.3.9 Виртуальный интерфейс между слоями 2 и 3

Как видно из рисунка в системе могут использоваться и идентичные коды TEI, если они относятся к разным видам услуг (несовпадающими должны быть лишь комбинации SAPI-TEI). Для кодирования сигналов в ISDN используется метод 2B1Q (2 binary into 1 quaternary), что соответствует

Код

Уровень

10

+2.5 v

11

+0.833 v

01

-0.833 v

00

-2.5 v

Форматы полей управления для кадров различных модификаций представлены на рисунках 4.3.3.10, 4.3.3.11 и 4.3.3.12.

Рис. 4.3.3.10 Формат поля управления информационных кадров

N(S) - номер кадра, посылаемого отправителем (cм. также описание форматов для протокола X.25).
N(R) - номер кадра, получаемого отправителем;
P/F - флаг опроса, если кадр является командой, или флаг окончания, в случае отклика.

Рис. 4.3.5.11 Формат поля управления управляющих кадров

s - разряды кода управляющей функции;
x - зарезервировано, должно быть равно нулю.

Рис. 4.3.3.12 Формат поля управления ненумерованных кадров

m - бит модификатора функции (см. таблицу 4.3.1.2).

Мультиплексирование на уровне 2 осуществляется за счет использования отдельного адреса для каждого LAP (link access procedure) в системе. Адрес содержит два байта и определяет приемник командного кадра и адрес передатчика кадра-отклика. SAPI используется для идентификации типа услуг. Если наряду с цифровым телефоном используется обмен данными, то эти два терминала будут подключены к разным типам сервиса и, вообще говоря, к разным сетям. Для каждого вида услуг фиксируется определенный код SAPI. TEI (terminal endpoint identifier) обычно имеет определенное значение для каждого из терминалов пользователя.

Комбинация SAPI и TEI однозначно описывает LAP (link access procedure) и определяет адрес второго уровня. Так как в системе не может быть двух идентичных TEI, коды TEI распределяются следующим образом:

0-63

коды tei, присваиваемые пользователем

64-126

коды tei, присваиваемые автоматически (сетью);

127

глобальный TEI (для широковещательных целей).

TEIс кодом в диапазоне 0-63 не нуждаются в диалоге с сетью в процессе установления связи на уровне 2. Но пользователь должен следить сам, чтобы в системе не было двух TEI с идентичными кодами. Терминалы с TEI в диапазоне 64-126 должны договариваться с сетью о TEI при установлении связи на уровне 2. Широковещательный TEI=127 служит для обращения ко всем терминалам, имеющим тот же код SAPI. Прежде чем предложить услуги уровню 3 уровень 2 должен запустить LAP. Это производится путем обмена пакетами между драйвером терминала уровня 2 и соответствующим сетевым драйвером. Предварительно должен быть активирован интерфейс уровня 1. До установления LAP возможен обмен только ненумерованными кадрами.

Этот процесс включает в себя передачу команды SET asynchronous balanced mode extended(SABME), адресат при этом должен откликнуться посылкой ненумерованного отклика (UA - unnumbered acknowledgment). После установления канала уровень 2 может передавать информацию для уровня 3. Ниже (рис. 4.3.3.13) приведена последовательность обмена кадрами на уровне 2:

Рис. 4.3.3.13 Последовательность обмена кадрами на уровне 2

Получение каждого информационного кадра (Iframe) должно быть в конце концов подтверждено (прислан пакет RR; см. таблицу 4.3.3.1). Число Iframe, которое может быть послано, не дожидаясь подтверждения получения (размер окна), может лежать в пределах 1-127. В случае телефонии это число равно 1. Если ресурс окна исчерпан, партнер вынужден задержать отправку очередного пакета до подтверждения получения посланного ранее кадра (RR). Для выявления потери кадров используется таймер. Таймер запускается всякий раз при посылке командного кадра и останавливается при получении подтверждения. Этого таймера достаточно, чтобы проконтролировать доставку, как команды, так и отклика. Если произошел таймаут, нельзя определить, какой из этих двух кадров потерян. Кадр, поврежденный на уровне 1, будет принят с неверной FCS (frame check sequence) и по истечении времени, заданного таймером, будет произведена посылка командного кадра с битом poll=1. Партнер при этом вынужден прислать значение системной переменной, характеризующей ситуацию. По этой переменной можно судить, был ли получен исходный кадр.

Таким образом, можно идентифицировать факт потери информационного кадра (нужна ретрансмиссия) или отклика на него. После трех ретрансмиссий считается, что канал разорван, и предпринимается попытка его восстановить. FCS получается путем деления последовательности бит, начиная с адреса и кончая (но не включая) началом fcs, на образующий полином x16+x12+x5+1. Практически это делается с использованием сдвигового регистра, который в исходном состоянии устанавливается в единичное состояние. В конечном результате в регистре оказывается код остатка от деления. Дополнение по модулю 1 этого остатка и есть FCS.

Рис. 4.3.3.14 Схема вычисления контрольной суммы (FCS/CRC)

Другой возможной ошибкой является получение I-кадра с неверным номером N(S). Это возможно, когда LAP работает при ширине окна более 1. Если потерян кадр с номером N(s)=k, принимающая сторона не должна посылать подтверждение приема кадра k+1. Отклик при этом имеет тип REJ (см. таблица 4.3.3.1) с N(R)=k+1. Это укажет передающей стороне, что все кадры до k получены, но необходимо возобновить передачу, начиная с кадра k. При выявлении ошибки в N(R) связь прерывается, реинициализируются переменные состояния передающей и принимающей сторон, после чего канал восстанавливается, и обмен возобновляется с самого начала.

Таблица 4.3.3.1. (См. также раздел о протоколе X.25)

 

Кодировка байтов

Команда

Отклик

8

7

6

5

4

3

2

1

Информационные кадры

iframe

-

N(S)

0

Iframe

-

N(R

P/td>

Кадры управления (supervisory)

RR

RR

0

0

0

0

0

0

0

1

RR

RR

N(R)

P/F

RNR

RNR

0

0

0

0

0

1

0

1

RNR

RNR

N(R)

P/F

REJ

REJ

0

0

0

0

1

0

0

1

REJ

REJ

N(R)

P/F

Ненумерованные кадры

SABME

-

0

1

1

p

1

1

1

1

-

DM

0

0

0

f

1

1

1

1

UI

-

0

0

0

p

0

0

1

1

DISC

-

0

1

0

p

0

0

1

1

-

UA

0

1

1

f

0

0

1

1

-

FRMR

1

0

0

f

0

1

1

1

P/F

poll=1 для команды, в противном случае конечный бит для отклика.

Iframe

(information frame) Информационный кадр

DISC

(disconnect) Отсоединить

RR

(receiver ready) Приемник готов

UA

(unnumbered acknowledge) Ненумерованное подтверждение

RNR

(receiver not ready) Приемник не готов

FRMR

(frame reject) Кадр отвергнут

REJ

(reject) Отказ

DM

(disconnect mode) Режим отключения

SABME

(set asynchronous balanced mode extended) Установка расширенного асинхронного сбалансированного режима

UI

(unnumbered information) Ненумерованная информация.

Ниже на рис. 4.3.3.15 показана схема алгоритма восстановления после потери кадра RR.

Рис. 4.3.3.15 Восстановление системы после потери кадра RR

Сигнал RNR(получатель не готов) используется для запрета пересылки пакетов партнеру на уровне 2 и может использоваться при реализации приоритетных услуг. Другим пакетом, который специфицирован на уровне 2, является кадр frame reject (FRMR). Этот кадр может быть получен объектом второго уровня, но не может быть послан. При получении этого кадра система сбрасывается в исходное состояние. После завершения процедуры обмена разрыв канала производится путем посылки кадров DISC (disconnect) и отклика UA (unnumbered acknowledgment), с этого момента обмен кадрами I-типа не возможен. Кадр DM(disconnect mode) может выполнять те же функции, что и UA. Он используется в качестве отклика на SABME, если слой 2 не может установить связь, или отклика на disc, если связь уже разорвана.

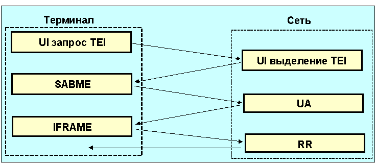
Для управления и контроля за выделяемыми идентификаторами TEI предназначен специальный драйвер, который имеет возможность выделять и удалять используемые TEI. Все сообщения, связанные с TEI, передаются с помощью пакетов SAPI (service access point identifier). Так как работа с TEI должна выполняться вне зависимости от состояния уровня 2, все TEI-сообщения являются ненумерованными (UI) и не требуют отклика. Надежность достигается путем многократной пересылки пакетов. Пока терминалу не присвоен TEI (terminal endpoint identifier), используется широковещательный метод обмена. Все терминалы пользователя должны воспринимать любые управляющие кадры. Кадры управления в процессе присвоения TEI терминалу рассылаются широковещательно. Схема присвоения TEI и установления связи показана ниже на рис. 4.3.3.16:

Рис. 4.3.3.16 Алгоритм выделения TEI и формирования связи

Третий уровень X.25 служит для доставки управляющих сообщений даже в случае отказа сети, именно здесь выполняется реконфигурация маршрута, если это необходимо. Сигнальный пакет 3-го уровня имеет формат (рис. 4.3.3.17):

Рис. 4.3.3.17 Формат сигнального пакета уровня 3

Эти пакеты следуют от терминала к коммутатору и наоборот. Первый октет (поле протокольный дискриминатор) дает D-каналу в будущем возможность поддержки нескольких протоколов. Приведенный код соответствует стандартному управляющему запросу пользователя. Третий октет (поле код запроса - call reference value) используется для идентификации запроса вне зависимости от типа коммуникационного канала, где этот запрос может быть реализован. Четвертый байт характеризует назначение пакета (например, Setup - запрос установления канала). Возможные типы сообщений перечислены в таблице 4.3.3.2. Длина сообщения зависит от его типа. Стандарт не регламентирует содержания полей, следующих за полем тип сообщения, и они могут использоваться по усмотрению пользователя для расширения функциональных возможностей системы.

Таблица 4.3.3.2 Коды типов сообщений

8

7

6

5

4

3

2

1

Значение сообщение

0

0

0

0

0

0

0

0

Переход к определенным типам сообщений:

0

0

0

-

-

-

-

-

Сообщения о состоянии:

 

 

 

0

0

0

0

1

Alerting (оповещение)

 

 

 

0

0

0

1

0

Call proceeding (состояние запроса)

 

 

 

0

0

0

1

1

Progress (прогресс)

 

 

 

0

0

1

0

1

Setup (начальная установка)

 

 

 

0

0

1

1

1

Connect (соединение)

 

 

 

0

1

1

0

1

Setup acknowledge (подтверждение начальной установки)

 

 

 

0

1

1

1

1

Connect acknowledge (подтверждение соединения)

0

0

1

-

-

-

-

-

Сообщения фазы запроса информации:

 

 

 

0

0

0

0

0

User information (пользовательские данные)

 

 

 

0

0

0

0

1

Suspend reject (отложенный отказ)

 

 

 

0

0

0

1

0

Resume reject (отказ возобновления)

 

 

 

0

0

1

0

1

Suspend (откладывание выполнения)

 

 

 

0

0

1

1

0

Resume (возобновление)

 

 

 

0

1

1

0

1

Suspend acknowledge (подтверждение откладывания)

 

 

 

0

1

1

1

0

Resume acknowledge (подтверждение возобновления)

0

1

0

-

-

-

-

-

Сообщения об устранении дефекта:

 

 

 

0

0

1

0

1

Disconnect (отсоединение)

 

 

 

0

0

1

1

0

Restart (повторный старт)

 

 

 

0

1

1

0

1

Release (освобождение)

 

 

 

0

1

1

1

0

Restart acknowledge (подтверждение повторного старта)

 

 

 

1

1

0

1

0

Release complete (освобождения завершено)

0

1

1

-

-

-

-

-

Прочие сообщения:

 

 

 

0

0

0

0

0

Segment (сегмент)

 

 

 

0

0

0

1

0

Facility (возможность)

 

 

 

0

1

1

1

0

Notify (обращение внимания)

 

 

 

1

0

1

0

1

Status inquiry (запрос состояния)

 

 

 

1

1

0

0

1

Congestion control (управление перегрузкой)

 

 

 

1

1

0

1

1

Information (информация)

 

 

 

1

1

1

0

1

Status (состояние)

* Цифрами в верхней части таблицы пронумерованы биты кодов

В приведенной ниже таблице 4.3.3.3 представлены информационные элементы, которые могут содержаться в сообщениях Setup (это самый сложный тип сообщений).

Таблица 4.3.3.3. Поля setup-сообщений

Поле в пакете

Длина (октеты)

Комментарии

Дискриминатор протокола

1

 

Код запроса

2-3

 

Тип сообщения

1

 

Передача завершена

1

Опционно, включается, если пользователь или сеть указывает, что вся информация включена в это сообщение Setup

Возможности канала

6-8

Описывает CCITT телекоммуникационные услуги (BC)

Идентификация канала

2-?

Служит для идентификации канала в пределах isdn-интерфейса, управляемого данными процедурами

Специфические возможности сети

2-?

Опционно

Дисплей

2-82

Опционно: IA5 (ASCII) символы для отображения на терминале

keypad

2-34

Альтернатива для пересылки кода вызываемого объекта. keypad может использоваться и для другой информации

Номер отправителя

1-?

Опционно

Субадрес отправителя

2-23

Опционно

Номер адресата

2-?

В случае направления пользователь-сеть является альтернативой keypad

Субадрес адресата

2-23

Опционно

Выбор транзитной сети

2-?

Опционно

Совместимость с нижним уровнем (llc)

2-16

Опционно

Совместимость с верхним уровнем (hlc)

2-4

Опционно

Пользователь-пользователь

2-131

Опционно, когда вызывающий пользователь хочет передать информацию вызываемому

Сигнальная система ISDN позволяет пользователю уже на фазе формирования канала с помощью запроса setup сформулировать требования к каналу, задав значение BC (bearer capability, см. таблицу 4.3.3.3), а также HLC (high layer compatibility) и LLC (low layer compatibility), характеризуя необходимый вид услуг. При этом проверяется совместимость запрашиваемых скоростей и имеющихся в распоряжении возможностей. HLC определяет тип сервиса или оборудования (телефон, факс группы 3 или 4, видеотекст), а LLC - быстродействие терминала пользователя, механизм адаптации к скорости передачи данных, контроль четности, синхронный/асинхронный интерфейс и т.д.). BC может принимать значения (например, "BC=speech"):

BC=

speech

Означает, что используется обычная для этого вида услуг маршрутизация - может быть задействовано не более двух спутников, (G.711);

3.1khz audio

Не должно использоваться эхо-подавление и dcme - (digital circuit multiplication equipment - оборудование уплотнения), необходим m/a-адаптер

7 khz

Высококачественная телефония (рекомендации CCITT G.722/G.725), требует 64 Кбит/с;

 

64kbit/s unrestricted

Скоростной информационный обмен

Услуги типа speech или 3.1 khz audio возможны и через общественную коммутируемую телефонную сеть (PSTN), остальные из перечисленных требуют 64-килобитного цифрового канала. Схема формирования запроса, получения доступа к определенному виду услуг показана ниже на рисунке 4.3.3.18. Помимо названных услуг существуют и другие, например, видео-телефония, видеоконференции и пр., список этот постоянно расширяется. При реализации 7кГц-телефонии должны быть выполнены следующие требования:

  • Должно использоваться терминальное оборудование, рассчитанное для работы с 3.1кГц, и обычные сетевые телефонные каналы.
  • Время реализации вызова должно быть приемлемо малым.
  • Система должна выдавать сообщение в случае, если в результате диалога реализуется 3.1кГц вместо 7.

Видео телефония использует один или два B-канала. В Европе приняты следующие нормы (normes europeennes de telecommunication-net):

Net3

isdn с обычной (базовой) скоростью обмена

Net5

isdn с первичной скоростью обмена (64кбит/с)

Net7

терминальные адаптеры

Net33

цифровая телефония.

Рис. 4.3.3.18 Последовательность сообщений при реализации стандартного вызова

Вызываемый партнер получает setup-сообщение через широковещательное обращение. Все терминалы, соединенные с NT1 могут анализировать Setup-сообщение с тем, чтобы определить, соответствуют ли они вызывающей стороне. Соответствие определяется по возможностям канала и по совместимости информационных элементов нижнего уровня. Если терминал соответствует требованиям запроса, он посылает сети сообщение alerting (Оповещение). В то же время, если необходимо, терминал должен сформировать локальный сигнал вызова (напр. звонок). После получения всей необходимой информации сеть выдает сообщение call proceeding, которое указывает на то, что начата установка связи с объектом вызова. Когда терминал обнаружил, что на запрос получен отклик, он переадресует connect-сообщение сети. Сеть регистрирует запрос и выдает команду терминалу соединиться с соответствующим B-каналом, послав пакет connect acknowledge, содержащий код B-канала. В любой момент времени к В-каналу может иметь доступ только один терминал. Все остальные терминалы, которые откликнулись на запрос, получат от сети сообщение release, которое переводит их в пассивное состояние. Пользователь может отменить запрос в любое время, послав три сообщения: disconnet, release и release complete (см. рис. 4.3.3.19 и таблица 4.3.3.2).

Рис. 4.3.3.19 Обмен сообщениями при разрыве связи

Возможна временная пассивация терминала посредством сообщения suspend с последующим возобновлением прерванного режима с помощью сообщения resume. Каждое из этих сообщений требует подтверждения получения (suspend acknowledge и resume acknowledge, соответственно). При вызове может оказаться несколько терминалов, отвечающих запрашиваемым требованиям (например, телефонных аппаратов). Вызывающая сторона может выбрать один из них (зная, например, их положение). Существует два механизма обращения к заданному терминалу. Первый использует вспомогательную службу direct dialling-in (DDI), которая в случае реализации обычного доступа к ISDN называется multiple subscriber number (MSN). В DDI и MSN номер сети используется для целей маршрутизации в пределах локальной сети пользователя. Каждому терминалу в сети должен быть присвоен уникальный MSN-номер. Именно этот номер используется для идентификации при Setup-процедуре.

Второй механизм адресации к заданному терминалу базируется на субадресации (subaddressing - SUB). В этом варианте дополнительная адресная информация передается от источника запроса к адресату. Этот адрес не является частью ISDN-номера, который используется для целей маршрутизации. Этот адрес может быть применен для обращения к некоторому процессу внутри терминала (не следует забывать, терминалом может быть ЭВМ) или к приложениям, которые не следуют стандартам OSI. Каждый терминал, подсоединенный к пассивной шине, нуждается в присвоении ему субадреса.

Принципиальное различие между DDI/MSN и SUB методами адресации заключается в том, что для DDI/MSN адрес является частью ISDN номера, в то время как для SUB это не так.

В этом случае каждому терминалу, подключенному к пассивной шине, должен быть присвоен такой субадрес. Процедура Setup должна содержать информацию о субадресе. Для выбора типа услуг и проверки терминальных возможностей используется обмен сообщениями alerting-connect.

Для максимального удовлетворения запросов потребителей isdn должна поддерживать самые разные дополнительные виды услуг. Чтобы решить эти задачи на уровне 3 для интерфейса пользователь-сеть разработаны два протокола - функциональная и стимулирующая сигнальные процедуры. В случае стимулирующей сигнальной процедуры терминал не должен иметь какой-либо информации о вспомогательных видах услуг. Работа терминала контролируется сетью с помощью сигнальных сообщений уровня 3. Сеть и терминал работают по схеме клиент-сервер и от терминала не требуется особых аналитических способностей. Базовый формат управляющих сообщений соответствует типу information. Существуют две разновидности этого протокола: один использует управляющие последовательности символов, заключенные между * и #, для второго - сеть должна хранить специальный профайл для каждого терминала. Такой профайл может переопределять функцию некоторых клавиш терминала. Нажатие такой клавиши осуществляет вызов определенного вида услуг.

В случае функциональной сигнальной процедуры терминал должен знать все о вспомогательном виде услуг и хранить всю необходимую информацию о них. Функциональный протокол использует информационные элементы facility (возможность, см. таблицу 4.3.5.4). Для пересылки этих информационных элементов используются сообщения типа register (см. описание протокола X.25). Функциональный протокол базируется на протоколе ROSE (remote operations service element). Этот протокол служит для поддержки приложений, где необходим интерактивный контроль сетевых объектов. Протокол ROSE обеспечивает запуск процесса, поддерживает процедуры подтверждения и последующее управление процессом. В таблице 4.3.5.4 приведен перечень дополнительных услуг, предоставляемых ISDN и поддерживаемых функциональным протоколом.

Таблица 4.3.5.4. Дополнительные услуги сети ISDN

  • Определение вызывающего номера (более эффективный аналог АОН);
  • Ограничение (запрет) по вызывающим номерам;
  • Ожидание вызова;
  • Прямой набор номера;
  • Субадресация;
  • Переносимость терминала;
  • Телефонные конференции;
  • Безусловная переадресация вызовов;
  • Переадресация, если номер занят;
  • Переадресация вызова при отсутствии ответа;
  • Групповые номера (по одному и тому же номеру к серверу могут дозваниваться несколько модемов)

Реально это лишь ядро списка, разные сети могут предоставлять и многие другие услуги.

При установлении телефонного канала используется сообщение TUP (telephony user part). В ISDN определены также сообщения ISUP (integrated services user part), которые должны стать основой всех будущих разработок. Примерами ISUP могут служить следующие сообщения:

IAM

(initial address message) используется для инициализации канала, передачи маршрутной информации и параметров запроса.

SAM

(subsequent address message) посылается вслед за iam, когда необходимо передать дополнительную информацию о предстоящей сессии.

INR

(information request message) посылается коммутатором для получения информации по текущей сессии.

INF

(information message) передает информацию, запрошенную inr.

ACM

(address complete message) подтверждает получение всей необходимой маршрутной информации.

CPG

(call progress message) посылается адресатом вызывающей стороне и информирует о том, что имело место какое-то событие.

ANM

(answer message) подтверждает получение запроса, используется для начала измерения времени обработки запроса, для контроля информационного потока и доступа пользователей.

FAR

(facility request message) посылается одним коммутатором другому для активации его состояния.

FAA

(facility accepted message) является позитивным откликом на запрос far.

FRJ

(facility reject message) отклик на запрос far, если он не может быть выполнен.

USR

(user-to-user information message) используется для обмена информацией между пользователями (помимо сигнальной информации).

CMR

(call modification request message) сообщение, которое может быть послано в любом направлении, для модификации сессии, например, для перехода от передачи данных к передаче голоса.

CMC

(call modification completed message) сообщение-отклик на запрос CMR, подтверждающее его исполнение.

CMRJ

(call modification reject message) сообщение-отклик на запрос cmr, оповещающее об отклонении этого запроса.

REL

(release message) сообщение, посылаемое в любом направлении и оповещающее о том, что система свободна и готова перейти в пассивное состояние при получении сообщения о завершении процедуры release.

RLC

(release complete message) - посылается в ответ на REL.

В ISDN используются базовая (B-канал, 64 Кбит/с) и первичная (1,544/2,048 Мбит/с) скорости передачи информации. Сигнальный D-канал формируется на основе 24-го временного домена (timeslot) в случае 1,544 Мбит/с и 16-го для 2,048 Мбит/с. Характеристики первичных каналов ISDN приведены в таблице 4.3.3.5.

Таблица 4.3.3.5. Характеристики первичных каналов ISDN

Быстродействие первичного канала

Кодировка

Импеданс линии

Временной домен d-канала

Уровень сигнала

1,544 Мбит/с

B8ZS

100 Ом

24

3 В

2,048 Мбит/с

HDB3

120 Ом

16

3 В

Различие между базовой и первичной скоростями обмена заключается в следующем.

Для первичной скорости не предусматривается интерфейс многоточечного обмена в локальной сети пользователя; связь устанавливается между сетью и одним из PABX (public automatic branch exchange) или другим терминалом.

В случае первичной скорости отсутствуют какие-либо средства для деактивации связи с целью экономии энергии. Для пользователя желательно иметь доступ, как к базовым, так и первичным каналам

Для базовой скорости передачи работает сигнальная цифровая система доступа DASS (digital access signaling system). Формат кадра при этом имеет вид (DASS2/DPNSS - digital private network signaling system):

Рис. 4.3.3.20 DASS2/DPNSS-кадр уровня 2

Этот формат не отличается от общепринятого для уровня 2 ISDN, за исключением числа байт управления (см. рис. 4.3.3.20 и 4.3.3.7), что допускается регламентирующими документами. Использование местной ISDN-АТС открывает дополнительные возможности. Помимо высококачественной локальной связи появляются коллективные (групповые) номера, что снимает ограничение на число пользователей, подключенных к узлу через обычные аналоговые модемы. Все пользовательские модемы дозваниваются по одному и тому же номеру, а коммутатор выполняет функцию пакетного мультиплексора. Емкость таких АТС легко наращивается, отдельные АТС могут объединяться друг с другом. Схема взаимодействия такой АТС (PTNX) с терминальным пользовательским оборудованием, другими ptnx и основной сетью ISDN показана на рис. 4.3.3.21. Местная АТС может предоставлять те же услуги, что и традиционная сеть ISDN, плюс запрограммированные локально виды сервиса (диалог между пользователями локальной сети, услуга типа "не беспокоить" и т.д.).

Рис. 4.3.3.21 Связи местной ISDN-АТС

Взаимодействие между ISDN и PSPDN регулируется стандартом ccitt x.31 (и i.462). x.31 позволяет использовать ISDN с существующими сетями x.25. Схема взаимодействия периферийного оборудования, ISDN и PSPDN показана на рисунке 4.3.3.22 (ISDN-коммутатор может и отсутствовать).

Рис. 4.3.3.22 Схема взаимодействия сетей ISDN и X.25

TA - терминальный адаптер; TE - терминальное оборудование; NT - сетевое терминальное оборудование

Доступ к программам обработки пакетов возможен через B- или D-каналы. В зависимости от вида приложения доступ через D-канал иметь определенные преимущества. D-канал в отличии от B-канала принципиально не может быть заблокирован. Возможна работа одновременно с 8-ю терминалами, подключенными к пассивной ISDN-шине. Кроме того, работа с D-каналом оставляет B-канал свободным для задач, которые не решаемы через D из-за его малого быстродействия (16 Кбит/с). А согласно рекомендациям LAPD быстродействие D-канала не может быть увеличено (по этой же причине максимальная длина пакетов X.25 в данной схеме не может превышать 260 октетов (против 1024 для обычных каналов X.25). К недостаткам использования D-канала можно отнести возможное увеличение задержек из-за низкого быстродействия. Протокол X.25 был разработан довольно давно для "традиционных" приложений и его недостаточная гибкость (большие задержки откликов, таймауты и пр.) приводит к тому, что он совершенно не пригоден для некоторых новых приложений. Это вынудило разработку для ISDN новых режимов работы с пакетами. И первое что было сделано - это четкое разделение управляющих и информационных потоков.

ISDN может рассматриваться как две логически независимые субсети - сигнальную субсеть и коммутируемую информационную сеть (в x.25 информация и управление осуществляется по одним и тем же каналам). В соответствии с этим разделением терминология CCITT различает плоскость управления (C-plane) и пользовательскую информационную плоскость (U-plane, см. рис. 4.3.3.23). В ISDN существует два режима: frame relaying (передача кадров, наиболее простой из режимов) и frame switching (коммутация кадров). Отличительной особенностью режима frame relaying является отсутствие подтверждений получения пакета при обмене данными между ISDN-терминалами (аналог UDP в TCP/IP сетях). Для обоих режимов используется одни и те же сигнальные процедуры (Q.933), но они отличаются протоколами U-плоскости при пересылке информации. Здесь используются протоколы передачи данных, базирующиеся на усовершенствованном стандартном сигнальном протоколе LAPD слоя 2, известном как LAPF - link access procedures for frame mode bearer services (Q.922). Пользователь может установить несколько виртуальных соединений и/или постоянных виртуальных связей одновременно с несколькими адресатами.

Рис. 4.3.3.23 Услуги ISDN в режиме переключения (цифрами помечены уровни протоколов, в скобках приведены ссылки на документы ITU)

На сигнальном уровне C-плоскости используются стандартные LAPD-процедуры слоя 2 (Q.921 или I.441), а для слоя 3 спецификация кадрового режима (Q.933). Но на U-плоскости сеть поддерживает только небольшую часть связного протокола:

  • разделение кадров с использованием HDLC-флагов;
  • проверка кадров по длине и контрольной сумме, выбрасывание кадров с ошибками;
  • мультиплексирование и демультиплексирование кадров, относящихся к разным виртуальным запросам, на основе их адресов слоя 2.

В простейшем случае сеть посредством сигнальных процедур на фазе Setup формирует вход в маршрутную таблицу. На уровне 2 для каждого виртуального запроса выделяется адрес, который остается действительным только на время данного вызова. При пересылке данных сеть просто индексирует маршрутную таблицу, используя адреса слоя 2 поступающих кадров, и ставит их в очередь на передачу по соответствующему маршруту. На фазе передачи информации терминалы используют протоколы более высокого уровня по схеме точка-точка без привлечения сети. Схема протокола коммутации кадров показана ниже на рис. 4.3.3.24, здесь передача кадров происходит с подтверждением получения (до какой-то степени аналог протокола tcp). Сеть детектирует потери и случаи дублирования пакетов.

Здесь на сигнальном уровне все процедуры следуют требованиям связного протокола ISDN в полном объеме в том числе и при передаче данных. Это подразумевает необходимость подтверждения получения каждого информационного кадра, пересылаемого от терминала к терминалу. Cеть контролирует доставку кадров и выявляет ошибки.

Как и в предыдущем случае мультиплексирование и демультиплексирование выполняется с использованием адресов слоя 2. Адрес кадра может содержать 2-4 октетов, а информация занимать от 1 до 262 октетов. Последняя величина может быть и увеличена в результате переговоров между отправителем и получателем при формировании виртуального канала. Рекомендуется не использовать кадров с размером поля данных более 1600 октетов во избежании фрагментации и последующей сборки сообщений.

Рис. 4.3.3.24 Режим переключения кадров

ITU-T делит все канальные услуги на две категории. 8 типов услуг уже определены для случая коммутации каналов и три определены для коммутации пакетов. Три из восьми считаются определяющими и каждый ISDN-переключатель должен их поддерживать (ITU-T рекомендация I.230).

Previous: 4.3.2 Протоколы сетей X.25    UP: 4.3 Региональные сети
Down: 4.4 Интернет    Next: 4.3.4 Протокол Frame Relay




Партнёры:
PostgresPro
Inferno Solutions
Hosting by Hoster.ru
Хостинг:

Закладки на сайте
Проследить за страницей
Created 1996-2026 by Maxim Chirkov
Добавить, Поддержать, Вебмастеру